Espert, Minas del Pueblo y un complejo esquema de estafas
Nota de coyuntura No. 154 / por Luis Solano
Dos documentos judiciales, pertenecientes al caso que se conduce en Estados Unidos contra el entramado de estafas en negocios de aviones con nexos al narcotráfico, en el que aparece involucrado el argentino Federico Machado, develan amplia información sobre el vínculo con la minera Minas del Pueblo, S.A. en Guatemala y la conexión con el escándalo del político argentino José Luis Espert.

Diagrama de entidades vinculadas con Federico Machado (Fred Machado). Fuente: Corporation Wiki. Recuperado en: https://www.corporationwiki.com/Florida/Fort-Lauderdale/fred-machado-P2980946.aspx
El entramado detrás de Minas del Pueblo
Documentación legal a la que El Observador tuvo acceso muestra un entramado de negocios millonarios ilícitos que ocurrieron entre 2015 y 2020, que implican al argentino Federico Machado con aviones y negocios mineros con conexión a Guatemala.
Los documentos, presentados en febrero de 2025, que son parte del caso identificado como United States v. Mercer-Erwin, 4:20-cr-00212, (E.D. Tex.), están clasificados como “Case 4:20-cr-00212-ALM-BD Document 553-4 Filed 02/26/25. Exhibit 25F” y “Case 4:20-cr-00212-ALM-BD Document 554-4 Filed 02/26/25”, mejor conocido como el libro contable de Bank of America, del cual El Observador publicó recientemente.
El primero de los documentos detalla una serie de operaciones que involucran a Federico Machado, South Aviation Inc. —una entidad de Federico Machado—, Gustavo Enrique Ramírez, al parecer, un operador de Machado y South Aviation, y Wright Brothers Aircraft Title Inc. (WBAT), la entidad donde Machado era socio y en donde se realizaban las transacciones de aviones.
En ese período, 2015-2020, hubo depósitos y retiros millonarios por un total de casi US$ 17.4 millones, y el uso de una cuenta identificada con el número 12425 operada por Ramírez, que son los últimos números de la cuenta 003766612425 que está identificada en el segundo de los documentos, el libro contable de Bank of America, a nombre de Ramírez.

Una extensa investigación del medio WFAA bajo el nombre de Broken Trust identificó múltiples operaciones realizadas por ese entramado de estafas. Una de esas operaciones, por un monto de US$ 2 millones, aparece en un apartado en los que se identifican los US$ 200 mil que el político argentino José Luis Espert confirmó que fue parte del pago que recibió por el contrato de la consultoría para reestructurar la deuda de Minas del Pueblo; un contrato que fue trabajado con Machado, pero que Espert aseguró fue pagado por la minera.

En ese apartado aparece la entidad estadounidense CCUR Holdings, que presta servicios financieros y que tiene una demanda contra Machado y South Aviation por incumplimiento de millonarios pagos. Además, aparece Ramírez; la entidad 2 EE LLC (2EE LLC, con sede en Florida); Yantai (YanTai JinPeng Mining Machinery Co., Ltd.), una compañía que vende maquinaria minera basada en Yantai, República Popular de China; y South Aviation.
Ese apartado de entidades y el operador Ramírez parece estar vinculado a las operaciones mineras vinculadas a Minas del Pueblo. Yantai es una empresa que vendió maquinaria al grupo de Machado, que no sólo involucraría a Minas del Pueblo y su proyecto minero La Meca-I, en Tucurú, Alta Verapaz, sino también para el proyecto minero El Pato, en Chiquimula, proyectos ampliamente investigados por El Observador. Mientras La Meca es para explotar zinc, plomo y plata, El Pato es para explotar oro y plata. En su página web, Yantai identifica un proyecto en Guatemala para explotar oro, sin proporcionar su nombre, pero se puede deducir que se trata de uno de los proyectos del conglomerado de empresas que tenía Machado en Guatemala.
Machado constituyó un conglomerado de entidades en Florida que fueron parte, si no todas, la mayoría de ellas de un esquema ponzi, como ha sido identificado en los documentos legales del proceso que lo involucra. Un diagrama de esas conexiones y de las entidades, casi todas inactivas, puede verse en la página de Corporation Wiki.
De ese grupo destaca South Mining, LLC, la entidad que fue creada a finales de 2017 y operó hasta el 27 de septiembre de 2019, tal como lo identifica la página Sunbiz. Es la entidad creada por Machado para sus operaciones mineras en Guatemala durante ese período de tiempo. Minas del Pueblo fue inscrita en el Registro Mercantil de Guatemala el 1 de junio de 2017. En noviembre de 2019, el Ministerio de Energía y Minas (MEM) aprobó la licencia minera La Meca-I. Todo coincidió durante el gobierno de Jimmy Morales Cabrera (enero 2016 – enero 2020) y el cancelado partido Frente de Convergencia Nacional (FCN)-Nación.

Fuente: Sunbiz.
Ramírez, aviones y Guatemala
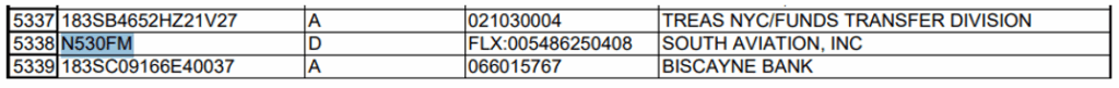
Los documentos legales de marras, muestran detalles de los vínculos de la cuenta operada por Gustavo Enrique Ramírez y múltiples aeronaves, algunas de ellas conectadas con Guatemala. Tres de ellas son las matrículas N546MG, N28FM y N530FM documentadas en el libro contable de Bank of America.


Imagen: Avión matrícula N546MG visto en Guatemala en 2016. Fuente: https://www.jetphotos.com/photo/8408166


Fuente: https://www.jetphotos.com/photo/9734855
Otra aeronave documentada, sólo que en la cuenta de South Aviation, es el helicóptero N530FM, utilizado en el transporte a la mina La Meca-I, de Minas del Pueblo.


Imagen de video tomada en febrero de 2021 en la finca Los Alpes y Argentina, Tucurú, Alta Verapaz, área de la mina La Meca I, de Minas del Pueblo. Fuente: Consejo del Pueblo de Tezulutlán.
En la investigación Broken Trust ya citada, la aeronave N546MG aparece asociada a South Aviation y a la entidad 2EE LLC. Se desconoce la cantidad de viajes a Guatemala y a quiénes transportó.

South Aviation y 2EE LLC también aparecen asociadas al helicóptero N530FM. Como se mencionó anteriormente, 2EE LLC apareció vinculada a Minas del Pueblo.

Dos aeronaves más aparecen asociadas en el libro contable de Bank of America bajo la operación 6108: la N28FM ya documentada, y la avioneta N584LU, encontrada desmantelada en terrenos de La Meca-I, tal como El Observador documentó en su momento.

Una aeronave más, la avioneta N195AZ, también está documentada en el libro contable a nombre de Aircraft Finance Aircorp Inc., una de las entidades de Machado, y que fue decomisada por el Ministerio Público (MP) en 2021.



Aeronaves decomisadas en Guatemala entre el 24 y 28 de abril de 2021: la N195AZ y la N584LU, esta última se ve en la fotografía arriba cuando fue decomisada, y abajo, estacionada donde se observa, al fondo, el jet N28FM, en el mismo lugar donde fue decomisada la N195AZ. Fuente: Ministerio Público y https://www.jetphotos.com/photo/9730040


